经颅直流电刺激纤维肌痛患者双额、枕神经对疼痛和疲劳的不同影响
摘要
纤维肌痛是一种以广泛的肌肉骨骼疼痛为特征的疾病,常伴有疲劳等其他症状。药物和非药物治疗的适度改善提出了非侵入性脑刺激技术,如对枕神经(更具体地说,是C2区)或背外侧前额叶皮层(DLPFC)的经颅直流电刺激(tDCS)作为潜在的治疗方法。
目的:探索以C2区和DLPFC为目标的重复tDCS(8个疗程)在减轻纤维肌痛症状,更具体地说,疼痛和疲劳方面的有效性。
方法:42例纤维肌痛患者分别接受C2-tDCS、DLPFC-tDCS或sham手术(15例C2-tDCS-11DLPFC-tDCS-16sham)。各组共八次治疗,每周2次,共4周。
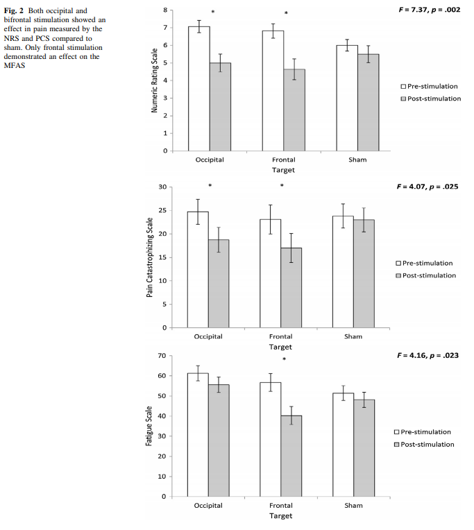
结果:反复使用C2-tDCS可显著改善纤维肌痛患者的疼痛,但不能改善疲劳,而反复使用DLPFC-tDCS可显著改善疼痛和疲劳。
本研究显示,针对DLPFC的8个疗程的tDCS对纤维肌痛患者的缓解效果比针对C2区域的更普遍,提示用8个疗程的tDCS刺激不同的靶点可以对纤维肌痛的不同症状维度产生益处。
介绍
纤维肌痛是一种以广泛的肌肉骨骼疼痛为特征的疾病经常伴有其他症状,包括疲劳、头痛、认知功能障碍、睡眠和情绪障碍(如抑郁、焦虑等)由于其生理和心理损伤。根据使用的诊断标准,纤维肌痛在普通人群中的患病率为1.2-5.4%,据报道,疲劳是70%纤维肌痛患者的衰弱症状。纤维肌痛目前的治疗方法包括药理学方法(如抗抑郁药、抗癫痫药物等)和非药理学方法(如运动疗法、按摩疗法等)。然而,最近的Mate分析表明,纤维肌痛的药物治疗效果有限,而非药物治疗也没有足够的证据。因此有人提出,可以采用综合疗法或全新的方法来改善治疗结果。
tDCS是一种非侵入性技术,通过向头皮施加低强度直流电来改变潜在的神经活动。由于纤维肌痛被认为是一种与功能性脑改变相关的疾病,tDCS可能是一种治疗纤维肌痛症状的潜在方法。
对纤维肌痛患者的tDCS研究表明,左背外侧前额叶皮层(DLPFC)和初级运动皮层(M1)都是tDCS治疗的潜在靶点。尽管阳性结果有利于tDCS靶向M1而不是tDCS靶向DLPFC(连续5天20分钟的2mA tDCS疗程),将治疗时间增加到10次以DLPFC为目标的tDCS会议确实能改善疼痛评分。总的来说,在大多数纤维肌痛患者的tDCS研究中,疼痛缓解与生活质量的改善相关。基于先前的调查结果额叶似乎在疲劳和疼痛中扮演着重要的角色,我们假设使用tDCS针对前额叶皮层,生活质量改善后DLPF-CtDCS在纤维肌痛患者中可能减少纤维肌痛患者疼痛的症状。
此外,先前的植入物研究也表明,刺激枕大神经区域对纤维肌痛患者的疼痛和疲劳症状是有益的。最近一项针对相同区域的tDCS研究进一步显示疼痛症状得到改善。枕神经野刺激的确切作用机制尚不清楚,但使用fMRI和PET技术的研究显示,刺激后涉及痛觉的几个重要脑区的大脑活动受到调节。
因此,在本研究中,我们的目的是探索针对背侧前额叶皮层和枕神经的重复tDCS(8个疗程)在减轻纤维肌痛症状,特别是疼痛和疲劳方面的有效性。我们进一步研究在八个疗程中刺激不同的目标是否会对纤维肌痛的不同症状维度产生益处。我们假设反复使用以DLPFC或C2为靶点的tDCS可以改善纤维肌痛患者的疼痛和疲劳。
材料和方法
参与者
纤维肌痛患者由比利时安特卫普大学医用物理医学与康复科根据ACR-90标准选择。选取42例纤维肌痛患者(女性36例,男性6例),平均年龄46.95岁。参见表1中对样本特征的描述。
实验设计
本研究为前瞻性、单盲、安慰剂对照、随机、平行组研究。患者是盲法和随机分配的三组,即假tDCS,双额tDCS或枕部tDCS。双额tDCS组和枕部tDCS组均给予8次治疗(每周2次,共4周),假手术tDCS组给予假手术4周。研究设计见图1。
经颅直流电刺激
15例患者接受枕部tDCS,电极放置在左右C2神经上(即左阳极、右阴极)。11例患者接受双额刺激,阳极电极置于左侧背外侧前额叶皮层,阴极电极置于右侧背外侧前额叶皮层。刺激部位由国际10/20脑电图系统分别对应F3和F4确定。直流电最初在5秒内以坡道方式增加,直到达到1.5mA。TDCS刺激持续20分钟,然后斜度下降5秒。16例患者接受假tDCS,其中电极的放置与真正的tDCS相同(8例接受C2,8例接受额部tDCS)。假手术中的直流电首先是在一个过渡阶段被打开的,第一个5秒时电流达到1.5mA,第二个5秒时电流下降到0mA。
结果
讨论
这项研究表明,与针对C2(仅减轻疼痛)的8次tDCS相比,针对DLPFC的8次tDCS更能减轻纤维肌痛患者的全身疼痛(减轻疼痛和疲劳)。这表明,对不同的目标使用相同的刺激时间将对纤维肌痛的不同症状维度产生好处8个疗程的新治疗方案没有副作用。
相关研究的结果有助于解释本研究中DLPFC-tDCS改善纤维肌痛患者疼痛和疲劳的原因。
对于疲劳,可以在多发性硬化(MS)研究中找到支持其中疲劳与额叶皮质的变化功能有关。Saiote和他的同事在对MS患者进行了5次针对DLPFC的1mAtDCS治疗后,并没有发现对疲劳有显著的影响,但认为没有影响可能是由于所选择的刺激参数。本研究发现,以DLPFC为靶点的1.5mAtDCS共8个疗程可调节疲劳。对于C2靶点,枕神经刺激作为治疗纤维肌痛患者的一种主要研究方法是在C2区域植入皮下电极。与我们的研究结果不同的是,我们使用tDCS来无创靶向C2,有创方法已经被证明可以治疗纤维肌痛患者的疼痛和疲劳。非侵入性技术的试点研究调查C2tDCS(3d)作为入侵预测测量枕神经刺激进一步发现减少疼痛知觉与虚假的组相比,表明C2-tDCS可能成为另一种非侵入性的疼痛治疗纤维肌痛。
综上所述,本研究表明,重复使用针对DLPFC的tDCS对纤维肌痛患者的缓解效果比针对C2的tDCS更普遍,提示刺激不同的靶点对纤维肌痛的不同症状维度有不同的益处。该方案可作为临床常规方案,效果良好。
- 上一篇:经颅直流电疗法在脑瘫儿童康复中的应用现状 2021/3/16
- 下一篇:【展会邀请】华恒京兴期待与您相约 2021/3/11

